Help with blood test?

They banned anything on the AR/m4 platform, as well as all m14 variants. Then went as far and outlawing my Robinson arms Xcr series rifles.

Fucking commies banned half of what I owned pre unfortunate boating accident!
It's surprising how many folks I've met who have had similar problems on the water...
 
@Human_backhoe @The Terminator @Tren91 what do you think guys?

Fitness.png


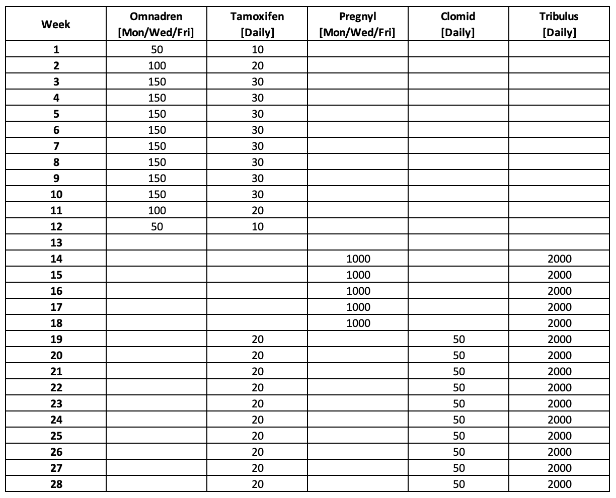
The Omnadren (testosterone) will be injected 3 times/week, which comes to 450mg weekly. I've decided to add 30mg Tamoxifen when it's 450mg Omnadren, since I'm really sensitive to gynecomastia and estrogen. The Pregnyl and Clomid dosages are as instructed.
 
Last edited:
@Human_backhoe @The Terminator @Tren91 what do you think guys?





Fitness.png


The Omnadren (testosterone) will be injected 3 times/week, which comes to 450mg weekly. I've decided to add 30mg Tamoxifen when it's 450mg Omnadren, since I'm really sensitive to gynecomastia and estrogen. The Pregnyl and Clomid dosages are as instructed.

Definitely drop the tribulus in my opinion . Test boosters are suppressive . Maybe someone else can set me straight on this specific one.

I choose not to runs serms (tamoxifen). On cycle I don't see a point. It is extra stuff you don't need.

Elimination half life od test prop is 4.5 days. So 22.5 days for full elimination. So 3.5 weeks needed between cycle and beginning the serms. Call it 4 weeks.
 
Definitely drop the tribulus in my opinion . Test boosters are suppressive . Maybe someone else can set me straight on this specific one.

I choose not to runs serms (tamoxifen). On cycle I don't see a point. It is extra stuff you don't need.

Elimination half life od test prop is 4.5 days. So 22.5 days for full elimination. So 3.5 weeks needed between cycle and beginning the serms. Call it 4 weeks.

So:
1. Remove the Tribulus.
2. Tamoxifen during the cycle - only if gyno appears.
3. Start Pregnyl and Clomid 4 weeks after the last Omnadren injection.

Got it!

I've bought Omnadren, Tamoxifen and Tribulus from the pharmacy in Bulgaria, the Clomid is from pharmacy in Greece and the Pregnyl I bought online, but it's been tested with pregnancy test and it's all good, so I hope the cycle will be legit.

Thanks again for the help, guys!
 
So:
1. Remove the Tribulus.
2. Tamoxifen during the cycle - only if gyno appears.
3. Start Pregnyl and Clomid 4 weeks after the last Omnadren injection.

Got it!

I've bought Omnadren, Tamoxifen and Tribulus from the pharmacy in Bulgaria, the Clomid is from pharmacy in Greece and the Pregnyl I bought online, but it's been tested with pregnancy test and it's all good, so I hope the cycle will be legit.

Thanks again for the help, guys!


Start the hcg right after your last pin
 
This is way too much drugs to use just to be able to run 450mg test..You dont need 10 weeks pct,dont need 30mg tamox andyou don't need 1000 iu hcg especially when you are gyno prone. Maybe you not even gyno prone tbh we can't know because you don't use any AI.Go to pharmacy and buy kyaresta(киареста).
Start tamox from the beginning of cycle at 10mg.4 weeks in do sensitive e2 analysis and will know if you need AI.pct 6 weeks max 20tamox,50 clomid.500 iu hcg everyother day.
Omnadren has decanoate ester in it so you should start PCT 3 weeks after last shot.
 
This is way too much drugs to use just to be able to run 450mg test..You dont need 10 weeks pct,dont need 30mg tamox andyou don't need 1000 iu hcg especially when you are gyno prone. Maybe you not even gyno prone tbh we can't know because you don't use any AI.Go to pharmacy and buy kyaresta(киареста).
Start tamox from the beginning of cycle at 10mg.4 weeks in do sensitive e2 analysis and will know if you need AI.pct 6 weeks max 20tamox,50 clomid.500 iu hcg everyother day.
Omnadren has decanoate ester in it so you should start PCT 3 weeks after last shot.

I forgot to mention that the PCT will be that long because currently I have a low T. So HCG will be injected until I got my natural T on 14-17nmol. It could be just a 1-2 weeks, idk.. about the tamoxifen, yes, I’ll do 10mg and I’ll up the dose only if I feel gyno. Does that sound right? Thanks!
 
I thought that gyno and nipple sensitivity means high e2. Anyway, I'll do blood tests often and watch out this time. I decided to start PCT 3 weeks after the last pin, because I've read that HCG won't work until I'm clear from the testosterone. I'll run 1,000iu until my blood work shows 14-17nmol (as The Terminator suggested), then drop to 750/500/250 and start the Clomid 100mg first day, 50mg for the rest of the PCT. I hope everything went smoothly.

I want to thank you all again for the help guys! I've learned a lot for the PCT, I can't believe I didn't do it correctly for more than 10 cycles that I've ran, lol!
 
I thought that gyno and nipple sensitivity means high e2. Anyway, I'll do blood tests often and watch out this time. I decided to start PCT 3 weeks after the last pin, because I've read that HCG won't work until I'm clear from the testosterone. I'll run 1,000iu until my blood work shows 14-17nmol (as The Terminator suggested), then drop to 750/500/250 and start the Clomid 100mg first day, 50mg for the rest of the PCT. I hope everything went smoothly.

I want to thank you all again for the help guys! I've learned a lot for the PCT, I can't believe I didn't do it correctly for more than 10 cycles that I've ran, lol!
Answered what are the downsides of this approach.Also you are not taking anything to lower e2 if needed.
 
@The Terminator bro I forgot to ask one more thing. I'll do HCG 3 times/week until I get my levels to 24 nmol, but what about the Clomid? Can I watch for my levels to get on a specific nmol again, or run it for like 10 weeks? Thanks!
 
One thing I never understood is how people are going to run gear, but then drink, do drugs, and eat like shit. You're set up for failure from the start. If you respect your body and are going to run gear, do it fucking smart and do it fucking right. All those poor choices always end in fucking tears, but people continually do it. Straight up disrespecting themselves. Living that smile now cry later life. SMH.
 
@The Terminator bro I forgot to ask one more thing. I'll do HCG 3 times/week until I get my levels to 24 nmol, but what about the Clomid? Can I watch for my levels to get on a specific nmol again, or run it for like 10 weeks? Thanks!

Well I guess with clomid as long as it’s normal, often people can get into a high normal range with it. But it really matters more if your T remains good a couple months post clomid. Only reason the suggestion is made for reaching a minimal level with hCG is to make sure your testicles can recover and are in a position to respond to LH. Actually it was a suggestion made by Dr scaly here and this other Dr who had interest in helping guys recover natural T, but I forgot his name.
 
One thing I never understood is how people are going to run gear, but then drink, do drugs, and eat like shit. You're set up for failure from the start. If you respect your body and are going to run gear, do it fucking smart and do it fucking right. All those poor choices always end in fucking tears, but people continually do it. Straight up disrespecting themselves. Living that smile now cry later life. SMH.
Well, that's why I stopped everything and started a diet, 45 minutes of cardio and 2 hours workout daily...

Well I guess with clomid as long as it’s normal, often people can get into a high normal range with it. But it really matters more if your T remains good a couple months post clomid. Only reason the suggestion is made for reaching a minimal level with hCG is to make sure your testicles can recover and are in a position to respond to LH. Actually it was a suggestion made by Dr scaly here and this other Dr who had interest in helping guys recover natural T, but I forgot his name.
So I'll run HCG until it's ~24nmol, then 8 weeks of Clomid and check if it's still ~24nmol. After I stop the Clomid I'll run another blood test 4-5 weeks after that and check the final result. Thanks again for the help!!!
 
Well, that's why I stopped everything and started a diet, 45 minutes of cardio and 2 hours workout daily...


So I'll run HCG until it's ~24nmol, then 8 weeks of Clomid and check if it's still ~24nmol. After I stop the Clomid I'll run another blood test 4-5 weeks after that and check the final result. Thanks again for the help!!!

I’d wait a minimum of 8 weeks post clomid for that blood test. Give it time to both clear out and for your body to take over fully. At that point exact T numbers aren’t as important as how you feel. If you feel good after pct at 17nmol for example then you’re good as it’s a normal level.
 
Hey, guys!

I have an update with my case. I've ran 8 weeks of Testosterone only cycle (with Aromasin for the Estrogen). I felt great, I've got in perfect shape. I had a clean diet, daily cardio, etc.

3 weeks after the last injection (I felt terrible at the end, obviously), I've started 500mg Pregnyl daily before bed. 1 week after my mood was back on track, morning erections, everything was back to normal. Yesterday I went to the lab and I got my Testosterone results - they were perfect (23.15 nmol/l). Estrogen and Prolactin were in the range also. I can't believe that this was from 1 week Pregnyl only. Today I'll start Clomid 50mg/daily for 8-10 weeks and I think that will be it.

I want to thank @Human_backhoe for the references and huge thanks to @The Terminator for the PCT scheme! I can't explain how much you've helped me, guys! I was gonna start TRT if it wasn't for you. Which is not a bad thing, except that in my country we have only pharmaceutical Testosterone, which needs to be injected EOD, lol.

Thanks again!!!
 

Sponsors

Back
Top